聯系方式 |
電話(市場部):0517-86851868 |
0517-86882048 |
0517-86881908 |
(拓展部):0517-86882683 |
傳真:0517-86851869 |
節假日商務聯系電話:
何經理:13655238295
紀經理:18015196880 |
郵編:211600 |
網址:http://www.pjx55.com/ |
http://www.sukeyb.com/ |
E-mail:china-suke@163.com |
sukeyb@163.com |
地址:江蘇省金湖縣工業園區環城西
路269號 |
|
|
 |
您現在的位置 > 首頁 > 行業新聞 > 蒸汽流量計測量原理介紹 |
蒸汽流量計測量原理介紹 |
在蒸汽流量計量中,最常用的流量計是差壓式流量計和渦街流量計。
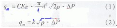
差壓式流量計的理論依據是伯努利方程和流動連續性方程。當流體流經節流裝置,使部分壓力能轉換為動能,產生差壓信號,而這一差壓與流量的平方成正比,其數學模型為: 
式中:qm為蒸汽質量流量,T/h; C為流出系數;ε為可膨脹性系數;d為節流件孔徑,m; ρ為節流件蒸汽密度,kg/m3;△P為節流件上下游差壓,Pa;E為漸近速度系數。
渦街流量計的理論依據是流體振蕩原理。流體在管道中經過渦街流量變送器時,在三角柱的旋渦發生體后上下交替,產生正比于流速的兩列旋渦,旋渦的釋放頻率與流過旋渦發生體的流體平均速度及旋渦發生體特征寬度有關,可用以下公式表示:
式中:f為旋渦的釋放頻率,Hz;k為流量系數,l/L; ρ為蒸汽密度,kg/m3;ν為流過旋渦發生體的流體平均速度,m/s; d為旋渦發生體特征寬度,m;St為斯特羅哈數,無量綱,當雷諾數Re在102~105范圍內,St值約為0.2。
從式(2)和式(4)可以看出,蒸汽質量流量與蒸汽密度直接相關。因此,必須對流量計進行溫度(Pt100鉑電阻)或者壓力(壓力變送器)補償,可顯示飽和蒸汽的瞬時質量流量、累計流量以及溫度、壓力。Pt100鉑電阻測量得到的介質溫度信號和壓力變送器測量得到的介質壓力信號作為密度補償信號,渦街流量計對蒸汽流量進行密度修正。對飽和蒸汽,蒸汽密度ρ只與壓力P有關,即ρ=ρ(p);而對于過熱蒸汽,蒸汽密度ρ與壓力P的關系和溫度T有關,即ρ=ρ(p,T)。
|
|